Scalar product of vectors

The angle between vectors

Let two non-collinear vectors be given a and b. Let's set aside both of these vectors from the same point in the plane. The angle between two vectors is the minimum angle from 0° до 180°, by which one of them must be rotated so that the directions of the vectors coincide. If the vectors are co-directional, then the angle between them is 0°, if they are oppositely directed, then the angle between them is 180°. If one of the vectors or both vectors are zero, then the angle between them is considered to be zero. The angle between vectors a and b is denoted by a,b^. The angle between vectors

Scalar product of vectors and its properties

The scalar product of two vectors is a number equal to the product of the lengths of these vectors by the cosine of the angle between them: ab = |a||b|cos(a,b^) If the vectors a and b are perpendicular, then cos(a,b^) = 0 and hence, ab = 0. Conversely, if a and b are nonzero, and ab = 0, then it follows from the definition of the scalar product that cos(a,b^) = 0.
Thus, a necessary and sufficient condition for the perpendicularity of two vectors is that their scalar product is equal to zero.
From the definition of the scalar product for non-zero vectors it follows that if the angle between the vectors is acute, then the scalar product is a positive number; if the angle is obtuse, then it is negative.
If the angle between the vectors is zero, then ab = |a||b|. It follows that aa = |a|2.
If the angle between vectors 180°, then ab = -|a||b|.
Obviously, for any vectors a, b, c and an arbitrary number q, the scalar product has the following properties:
1)  ab = ba;
2)  (a+b)c = ac+bc;
3)  (qa)b = q(ab).

Calculators for solving examples and problems in mathematics

The best math apps for schoolchildren and their parents, students and teachers. More detailed ...


The scalar product of vectors in coordinates

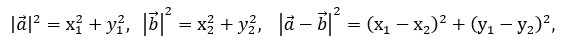
Let non-zero vectors be given a{x1;y1} and b{x2;y2} Scalar product of vectors By the cosine theorem

BA2 = OA2 + OB2 - 2⋅OA⋅OB⋅cosα.

Taking into account that BA = a - b,    OA⋅OB⋅cosα = ab, let's rewrite this equality in vector form: |a - b|2 = |a|2 + |b|2 - 2 ⋅ab. From here we get the expression for the scalar product: ab = ½(|a|2 + |b|2-|a - b|2). Substituting formulas for squares of modules of vectors into the last equality
Scalar product of vectors after the appropriate transformations, we obtain the formula for the scalar product in coordinates: ab = x1x2 + y1y2. Obviously, this formula is also valid for zero vectors a and b, and for collinear vectors.

The formula for calculating the cosine of the angle between vectors

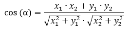
Using the formula for the scalar product of vectors a and b in coordinates, we obtain the formula for calculating the cosine of the angle between these vectors: |a||b|cos(a,b^) = x1x2 + y1y2. From here cos(a,b^) = (x1x2 + y1y2)/(|a|⋅|b|). Finally, we obtain the formula for the cosine of the angle α between nonzero vectors a{x1;y1} and b{x2;y2}: Formula for the cosine of the angle between vectors
Business Contact Book - New Way in Contact Management
Related Sites & Topics:
Wednesday, May 20, 2026
Contact
Privacy Policy
Terms & Conditions

Copyright © 2026 Intemodino Group s.r.o.
All rights reserved